Another way to normalize the amplitude of a signal is based on the RMS amplitude. In this case, we will multiply a scaling factor, , by the sample values in our signal to change the amplitude such that the result has the desired RMS level,
.
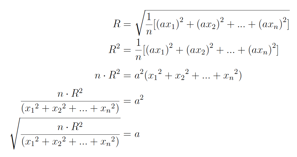
If we know what the desired RMS level should be, it is possible to figure out the scaling factor to perform a linear gain change. This is done by rearranging the equation used to calculate the RMS level to solve for the scaling factor:

This RMS amplitude, , is on a linear scale. Audio engineers typically perform RMS normalization relative to the decibel (dB) scale. Therefore, it is common as a programmer to first convert a RMS amplitude on the dB scale to the linear scale to use as part of this calculation.
When performing RMS normalization, it is possible to scale the amplitude of a signal such that the peak magnitude is greater than 1. This will cause the signal to be clipped, or distorted. This can occur even if the RMS normalization is less than 0 dBFS RMS.
The next step after processing a signal by a single number is to look at how we can process a signal by another signal. Now, we can consider different methods to combine signals together.

